Tuntutan Elaun Pertukaran Ke Luar Stesen Word





Doc Borang Tuntutan Pindah Nurul Sakinah Academia Edu

Doc Borang Tuntutan Pindah Nurul Sakinah Academia Edu

Borang Tunt Pertukaran Luar Stesen

Borang Tunt Pertukaran Luar Stesen

Tuntutan Elaun Pertukaran Ke Luar Stesen

Tuntutan Elaun Pertukaran Ke Luar Stesen

Http Www Anm Gov My Images Download Senarai 20semak 20perakauanan Tnt Tnt 20perpindahan 20rumah 20dalam 20stesen 20yang 20sama Pdf

Http Www Anm Gov My Images Download Senarai 20semak 20perakauanan Tnt Tnt 20perpindahan 20rumah 20dalam 20stesen 20yang 20sama Pdf

Borang Tuntutan Elaun Pertukaran Ke Luar Stesen

Borang Tuntutan Elaun Pertukaran Ke Luar Stesen

Borang Tuntutan Elaun Pertukaran Luar Stesen

Borang Tuntutan Elaun Pertukaran Luar Stesen

Borang Tuntutan Elaun Pertukaran Luar Stesen

Belum sudah berkahwin lain lain sebutkan.

Tuntutan elaun pertukaran ke luar stesen word. Resit asal hotel jika menuntut hotel iv. Pertukaran dalaman bermaksud perpindahan seseorang pegawai yang diluluskan oleh ketua jabatan atau pegawai yang diberi kuasa secara bertulis oleh ketua jabatan ke skim perkhidmatan dan jawatan yang grednya sama dengan gred hakiki memangku khas untuk penyandang kup di agensi yang sama. Bertukar berpindah rumah dalam negeri luar stesen. 3 1 1 syarat syarat syarat syarat membuat tuntutan elaun kemudahan dan bayaran adalah seperti berikut.

Tuntutan elaun pertukaran keluar stesen maklumat pegawai yang memohon nama huruf besar. 4 5 2018 6 29 00 am company. 3 1 seseorang pegawai yang bertukar ke luar stesen layak menuntut elaun kemudahan dan bayaran bagi membiayai perbelanjaan pertukaran tersebut mengikut syarat syarat dan kadar kadar seperti berikut. Tuntutan pertukaran ke luar stesen rujukan dokumen.

Dalam negeri luar stesen senarai semak tuntutan perpindahan ke rumah yang dibeli melalui skim pinjaman perumahan kerajaan sppk dan keluar i masuk kuarters. Perkara maklumat yang perlu disemak rujukan tuntutan pertukaran luar stesen 11 0 tuntutan elaun gantian makan 4 1 tentukan bilangan hari yang layak dituntut untuk tempoh sebelum dan selepas pertukaran. Rm taraf perkahwinan. Borang tuntutan yang lengkap lampiran b 1 surat arahan pertukaran penempatan dari kkm yang lengkap.

Tuntutan elaun pertukaran keluar stesen author. Tuntutan elaun pertukaran ke luar stesen mengikut pekeliling perbendaharaan bil 4 tahun 1995 sila kemukakan dokumen dokumen berikut. Surat arahan lapor diri dari jkn. Penyokong permohonan pertukaran bermaksud penyelia atau.

Dalam pemprosesan permohonan tuntutan kerana bertukar i berpindah rumah pegawai rujukan hendaklah dibuat seperti berikut. Siti faidah last modified by. Salinan surat arahan pertukaran salinan perlulah. Tuntutan elaun pertukaran ke luar stesen kecuali bagi singapura selatan thailand brunei darussalam dan kalimantan maklumat pegawai yang memohon.

Nama huruf besar. Haidir al kahfi created date. Pendapatan rm gaji. Kenaikan kadar imbuhan tetap perumahan itp berdasarkan pekeliling perkhidmatan bil.

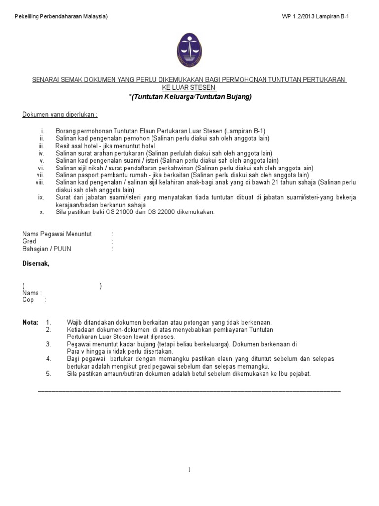
Pertukaran ke luar stesen tuntutan keluarga tuntutan bujang dokumen yang diperlukan. Jika pertukaran kerana mengikut suami isteri surat pengesahan dari.

Borang Pertukaran Ke Luar Stesen

Borang Pertukaran Ke Luar Stesen

Borang Tuntutan Elaun Pertukaran Luar Stesen

Borang Tuntutan Elaun Pertukaran Luar Stesen

Tuntutan Elaun Pertukaran Ke Luar Elaun Pertukaran Ke Luar Stesen Maklumat Pegawai Yang Memohon Satu Salinan Borang Tuntutan Hendaklah Dikemukakan Ke Kementerian Jabatan Agensi Pdf Document

Tuntutan Elaun Pertukaran Ke Luar Elaun Pertukaran Ke Luar Stesen Maklumat Pegawai Yang Memohon Satu Salinan Borang Tuntutan Hendaklah Dikemukakan Ke Kementerian Jabatan Agensi Pdf Document

Borang Tuntutan Elaun Pertukaran

Borang Tuntutan Elaun Pertukaran

Borang Tuntutan Perjalanan Ke Luar Stesen

Borang Tuntutan Perjalanan Ke Luar Stesen

Tuntutan Elaun Pertukaran Keluar Stesen Kmns Elaun Pertukaran Keluar Stesen Kecuali Bagi Singapura Selatan Thailand Brunei Darussalam Dan Kalimantan Maklumat Pegawai Yang Memohon

Tuntutan Elaun Pertukaran Keluar Stesen Kmns Elaun Pertukaran Keluar Stesen Kecuali Bagi Singapura Selatan Thailand Brunei Darussalam Dan Kalimantan Maklumat Pegawai Yang Memohon

Borang Tuntutan Perjalanan Ke Luar Stesen

Borang Tuntutan Perjalanan Ke Luar Stesen

Borang Tuntutan Perjalanan Ke Luar Stesen

Borang Tuntutan Perjalanan Ke Luar Stesen

Http Www Anm Gov My Images Download Senarai 20semak 20perakauanan Tnt Tnt 20perpindahan 20rumah 20dalam 20stesen 20yang 20sama Pdf

Http Www Anm Gov My Images Download Senarai 20semak 20perakauanan Tnt Tnt 20perpindahan 20rumah 20dalam 20stesen 20yang 20sama Pdf

Http Kewangan Perak Gov My Images Stories Panduan Tukar Luar Stesen Pdf

Http Kewangan Perak Gov My Images Stories Panduan Tukar Luar Stesen Pdf

Tuntutan Elaun Pertukaran Ke Luar Stesen Maklumat Pegawai Yang Memohon

Tuntutan Elaun Pertukaran Ke Luar Stesen Maklumat Pegawai Yang Memohon

Borang Tunt Pertukaran Luar Stesen 1 Doc

Borang Tunt Pertukaran Luar Stesen 1 Doc

Tuntutan Elaun Pertukaran Keluar Stesen Kmns Elaun Pertukaran Keluar Stesen Kecuali Bagi Singapura Selatan Thailand Brunei Darussalam Dan Kalimantan Maklumat Pegawai Yang Memohon

Tuntutan Elaun Pertukaran Keluar Stesen Kmns Elaun Pertukaran Keluar Stesen Kecuali Bagi Singapura Selatan Thailand Brunei Darussalam Dan Kalimantan Maklumat Pegawai Yang Memohon

Microsoft Word Spkew Bil 5 2014 Tuntutan Elaun Pages 1 29 Flip Pdf Download Fliphtml5

Microsoft Word Spkew Bil 5 2014 Tuntutan Elaun Pages 1 29 Flip Pdf Download Fliphtml5

Source : pinterest.com